Str (Rapport d'aspect de texture)
Ce paramètre est une mesure de l'uniformité de la texture de surface. La valeur est obtenue en divisant la distance horizontale dans la direction dans laquelle la fonction d'auto-corrélation baisse à la (aux) valeur[s] (0,2 par défaut) le plus vite (équivalent à Sal) par la distance horizontale dans la direction de la baisse la plus lente de la fonction d'auto-corrélation aux valeurs.

Fonction d'auto-corrélation
En traitement d'image, la fonction d'auto-corrélation est une mesure du taux de correspondance entre la surface d'origine et la même surface décalée de coordonnées données.
              
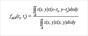
              La fonction d'auto-corrélation utilisée pour le calcul des paramètres Sal et Str est la suivante :
              
              Pour une explication simplifiée, seul l'axe X est pris en compte.
Soit les données de différence de hauteur illustrées ci-dessous.
              
              L'auto-corrélation de ces données est représentée par la forme suivante :
              
En termes simples, la fonction d'auto-corrélation détermine la zone de chevauchement entre les données de hauteur de la surface décalée et de la surface d'origine.
(Zones jaunes sur la figure ci-dessous.) 
Lorsque la différence de hauteur est faible, la zone de chevauchement est étendue et la valeur d'auto-corrélation élevée.
Lorsque la différence de hauteur est grande, la zone de chevauchement est étroite et la valeur d'auto-corrélation faible.
              
              
Une différence de hauteur abrupte entraîne une diminution instantanée de la valeur d'auto-corrélation car, même faible, une différence brutale cause une forte variation de la forme.
              Une différence de hauteur graduelle entraîne une diminution progressive de la valeur d'auto-corrélation car la forme ne varie qu'une fois la différence devenue importante.
              
Le paramètre Sal détermine la distance à laquelle la valeur d'auto-corrélation diminue le plus rapidement et peut donc être utilisé pour évaluer la présence/absence d'un point marquant un changement de hauteur abrupt.               
              Le paramètre Str détermine le rapport entre la distance à laquelle la valeur d'auto-corrélation diminue le plus rapidement et la distance à laquelle la valeur d'auto-corrélation diminue le plus lentement et peut donc être utilisé pour évaluer la présence/absence d'une couche.

