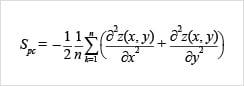
Spc (Arithmetic mean peak curvature)
This parameter represents the arithmetic mean of the principal curvature of the peaks on the surface.
A smaller value indicates that the points of contact with other objects have rounded shapes.
A larger value indicates that the points of contact with other objects have pointed shapes.


